Unraveling looping efficiency of stochastic Cosserat polymers
Giulio Corazza and Raushan Singh
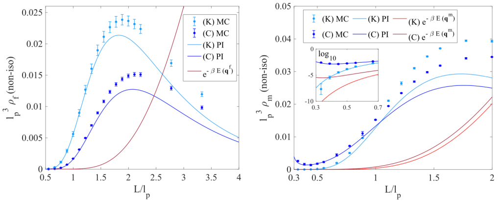
Understanding looping probabilities, including the particular case of ring closure or cyclization, of fluctuating polymers (e.g., DNA) is important in many applications in molecular biology and chemistry. In a continuum limit the configuration of a polymer is a curve in the group SE(3) of rigid body displacements, whose energy can be modeled via the Cosserat theory of elastic rods. Cosserat rods are a more detailed version of the classic wormlike-chain (WLC) model, which we show to be more appropriate in short-length scale, or stiff, regimes, where the contributions of extension and shear deformations are not negligible and lead to noteworthy high values for the cyclization probabilities (or J-factors). We therefore observe that the Cosserat framework is a candidate for gaining a better understanding of the enhanced cyclization of short DNA molecules reported in various experiments, which is not satisfactorily explained by WLC-type models. Characterizing the stochastic fluctuations about minimizers of the energy by means of Laplace expansions in a (real) path integral formulation, we develop efficient analytical approximations for the two cases of full looping, in which both end-to-end relative translation and rotation are prescribed, and of marginal looping probabilities, where only end-to-end translation is prescribed. For isotropic Cosserat rods, certain looping boundary value problems admit nonisolated families of critical points of the energy due to an associated continuous symmetry. For the first time, taking inspiration from (imaginary) path integral techniques, a quantum mechanical probabilistic treatment of Goldstone modes in statistical rod mechanics sheds light on J-factor computations for isotropic rods in the semiclassical context. All the results are achieved exploiting appropriate Jacobi fields arising from Gaussian path integrals and show good agreement when compared with intense Monte Carlo simulations for the target examples.


Journal article
Corazza, G., & Singh, R. (2022). Unraveling looping efficiency of stochastic Cosserat polymers. Physical Review Research, 4(1), 013071.